食品安全监管涉及多部门、多领域,目前我国实行的是分级分段、综合协调的监管体制。在此监管体制下,跨部门协作尤为重要。《中共中央 国务院关于深化改革加强食品安全工作的意见》明确提出要加强食品安全协调配合,健全工作协调联动机制。
1 食品安全监管跨部门协作困境
1.1 食品安全监管跨部门协调困境表现
由于机构改革和职能调整的合法性危机、综合协调机构的虚化与重叠现象、平行部门间协调合作的低效或无效,协调合作的实际效果大打折扣[1]。在现实实践中,平行部门间自主合作式协调因部门间无隶属关系、利益诉求各异、缺少协作文化和激励机制等原因难以达成。因而,目前平行部门间的协调合作大多为根据立法机关或上级行政机关的硬性要求而进行的强制性协作,自愿协作严重不足。
在食品安全监管过程中,各部门利益偏好的不同、职责的相对分散和机构间沟通缺乏使得部门合作不畅甚至无效,进而导致监管低效、食品安全问题频发[2]。多元监管主体在协同监管过程中的配合程度不高和基层部门之间的业务衔接与合作不够和谐,包括存在信息孤岛、信息被有意过滤、选择性合作乃至消极合作等[3]。
1.2 食品安全监管跨部门协调困境产生原因
跨部门协调困境产生的原因来自多个方面,包括投入收益不均衡、法律法规约束、技术不兼容、部门文化障碍、协同技能欠缺、制度供给不足、监管主体分散以及监管和惩罚力度不到位等[4]。
跨部门协作困境产生原因还在于各部门在合作中产生的“碎片化”现象,各部门权责不清,阻碍了合作进一步开展。这种“碎片化”样态体现在责任理念、资源配置、监管主体、体制改革等多个方面,引发了诸多问题,包括监管机构职能分散、缺乏合作和责任承担者、综合协调机构缺乏权威、各监管部门自由裁量和排斥信息共享等[5]。另外,我们的制度和政策具有“模糊文化”特征,笼统、原则、抽象,目标、方向或意图的宣示居多,具体措施和有效的政策工具欠缺,这也会导致监管部门之间协调困难。
2 食品安全监管跨部门协作博弈模型
本文采用演化博弈论方法对食品安全平行监管部门间的横向协调合作过程进行建模,分析食品安全监管跨部门协作演化过程的影响机制。
2.1 模型假设及变量设置
在食品安全监管中,存在多个横向平行的监管部门,我们以两部门为例。假定在一项食品安全监管任务中,监管部门甲和乙是横向协调合作博弈的两个参与方,总投入为I,甲、乙承担的投入占比分别为α和1-α,0≤α≤1。双方博弈有以下几种可能:
(1)一方合作而另一方不合作:设相关系数为K(K>0),甲、乙单独履行任务职责时创造的食品安全收益分别为KαI和K(1-α)I,收益全归合作部门所有。
(2)双方合作:双方共同履行任务职责产生合作效应,带来超额食品安全收益R',超额收益由双方共享,此时双方合作带来的食品安全总收益为KI+R',且满足关系KI+R^'>I。
(3)双方均不合作:双方都不履行任务职责会致使食品安全事故频发,产生不良的社会影响,造成的损失为P,监管损失由双方共担。
由上述模型可得食品安全监管两部门协调合作博弈中甲、乙的支付矩阵见表1:

2.2 演化博弈稳定性分析
假设监管部门甲以x的概率选择合作策略,以1-x的概率选择不合作策略;部门乙以y的概率选择合作策略,以1-y的概率选择不合作策略。
部门甲选择合作策略的期望收益为

部门甲选择不合作策略的期望收益为

部门甲的期望收益为

则部门甲选择合作策略的复制动态方程为

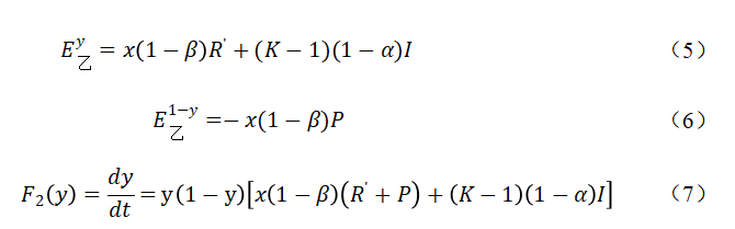
由于监管部门乙与甲的收益、成本、惩罚函数相似,都取决于其承担的监管任务和对方的合作倾向,根据对偶性理论,可以得到部门乙选择合作策略的期望收益、不合作策略的期望收益和选择合作策略的复制动态方程分别为

演化博弈的稳定状态是指采取两种策略的博弈方的比例不再发生变化,所以令F1(x)=0,F2(y)=0,可以得到两部门协调合作演化博弈的5个局部均衡点,分别为O(0,0),A(1,0),B(0,1),C(1,1)和鞍点D(x*,y*)。其中

由此可知,在食品安全监管的两部门协调合作博弈中,当双方的初始状态为纯策略或(x*,y*)时,系统处于均衡状态,意味着任何一方都不会去调整当前策略来打破平衡。
根据Friedman提出的方法,当同时满足雅克比矩阵的行列式Det(J)>0和矩阵的迹Tr(J)<0两个条件时,演化博弈系统中的局部均衡点为稳定均衡策略。因此,可以判断通过计算判断Det(J)>0且Tr(J)<0是否成立来判断5个局部均衡点是否处于演化博弈的均衡状态。两部门协作博弈过程的雅克比矩阵J为

由式(4)和(7)可得各局部均衡点处的Det(J)和Tr(J)如表2所示:

根据表2可知,各个局部均衡点的稳定性有如下几种情形:
第一种情形:当K>1时,即部门甲、乙单独创造的食品安全收益大于其投入成本时,C(1,1)为唯一稳定均衡点。此时无论部门甲、乙策略发生何种突变,最终都会选择采取合作策略,食品安全水平达到最高。
第二种情形:当K<1且[β(R'+P)-(1-K)αI][(1-β)(R'+P)-(1-K)(1-α)I]<0时,即当部门甲、乙单独履行职责创造的食品安全收益小于其投入成本产生差额收益,且甲、乙双方中一方所分配的合作超额收益与分担的不合作监管损失之和不足以弥补上述差额收益时,O(0,0)为唯一稳定均衡点。此时无论甲、乙策略发生何种突变,最终都会选择采取不合作策略,食品安全水平达到最低。
第三种情形:当K<1且β(R'+P)>(1-K)αI且(1-β)(R'+P)>(1-K)(1-α)I时,即虽然部门甲、乙单独创造的食品安全收益小于其投入成本造成差额收益,但其分配到的合作超额收益与分担的不合作监管损失之和能够弥补上述差额收益时,存在O(0,0)和C(1,1)两个稳定均衡点。此时监管部门甲和乙要么双方都不合作,要么双方都合作。
3 政策建议
一是加强政策宣贯,提高合作互动意识。各级党委政府应明确地方党委政府主要负责人为食品安全工作的第一责任人,全面加强监管队伍思想政治建设,加大政策的宣贯力度,提高部门间合作互动意识,促进部门间沟通协作、密切配合。
二是平衡资源配置,建立合理利益分配机制。上级食品安全协调部门可以通过对高投入低回报部门进行成本补贴或合作奖励等方式平衡资源配置和利益分配,并将履行任务职责的情况作为相应指标纳入考评体系,完善对食品安全监管部门的工作考评制度,确立各方共同认可的绩效评估机制,从而提高付出回报失衡的监管部门的合作积极性,促进各方达成合作。
三是明确监管事权,严格责任追究。依法依规制定食品安全监管事权清单,压实各监管部门在食品安全工作中的行业管理责任,对贯彻落实党中央、国务院有关食品安全工作决策部署不力、履行职责不力的,依照监管事权清单,尽职照单免责、失职照单问责,能够有效推动各方达成合作。
参考文献:
[1] 马英娟. 走出多部门监管的困境——论中国食品安全监管部门间的协调合作[J]. 清华法学, 2015, 9(3): 35-55
[2] 杨建国, 盖琳琳. 食品安全监管的"碎片化"及其防治策略——基于整体性治理视角[J]. 地方治理研究, 2018, (4): 15-25+77-78.
[3] [10] 周广亮. 协同治理视域下国家食品安全监管路径研究[J]. 中州学刊, 2019, (2): 73-79.
[4]Flinders M. Governance in Whitehall[J]. Public Administration, 2002, 80(1): 51-75.
[5] 赵娟. 制度实施的激励机制:中国食品安全监管困境的一个解释框架[J]. 华中师范大学学报:人文社会科学版, 2019, 58(5): 85-93.
文章作者:刘辉 中国标准化研究院政府管理创新标准化研究所
转载请注明出处